SCHNELL, GLATT UND FEST

Prinzip eines Planetengetriebes:
Der Konus (1) ist fest mit der Werkzeugaufnahme (4) verbunden und der Käfig (3) mit den rotierend gelagerten Rollen (2) frei drehbar.
Im Werkzeug sind je nach Rollieraufgabe mehrere gehärtete Rollen angeordnet. Durch den gleichzeitigen Eingriff mehrerer Rollen wird eine kurze Bearbeitungszeit erreicht. Das Rollieren mit Mehrrollenwerkzeugen ist ein Abrollvorgang mit einer Kinematik ähnlich der eines Planetengetriebes. Die Rollen werden im Werkzeug abgestützt. Dadurch entstehen keine Kräfte quer zur Bearbeitungsrichtung. Somit sind diese Werkzeuge besonders geeignet für kleine und zierliche Werkstücke.
Baublies Mehrrollenwerkzeuge gibt es als Standardwerkzeuge für die verschiedensten Innen- wie Außenapplikationen. Für Ihre spezielle Anwendung entwickeln wir Sonderlösungen.
VORTEILE
- Keine Kräfte quer zur Bearbeitungsrichtung
- Reduzierte Bearbeitungszeiten
- Härtere Randschichten
- Zunahme der Dauerschwingfestigkeit
- Größerer Materialanteil durch Plateaubildung
- Höherer Widerstand der Oberflächen gegen Verschleiß und Korrosion
- Erhöhung der Werkstoffermüdungs- grenzen
- Reduzierte Gleitreibungszahlen, konstante Maße und hohe Passgenauigkeiten
- Umweltverträglichkeit (da kein Schleifstaub anfällt)
- Auf allen gängigen Werkzeugmaschinen einsetzbar

Mehrrollenwerkzeuge für die Außenbearbeitung in verschiedenen Durchmessern

Mehrrollenwerkzeug PICCOLINO zur Innenbearbeitung von kleinen Durchmessern
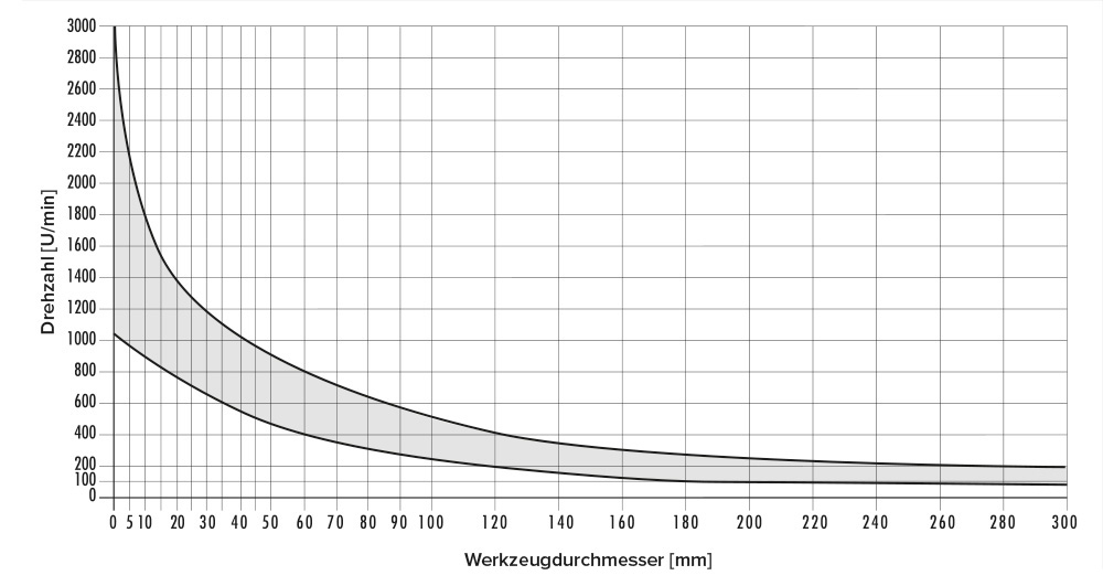
DREHZAHL- UND VORSCHUBDIAGRAMM FÜR MEHRROLLENWERKZEUGE
RICHTWERTE FÜR DREHZAHLEN
RICHTWERTE FÜR VORSCHÜBE
Drehzahl und Vorschub stehen in Abhängigkeit von verschiedenen Parametern wie z. B. Kühlung, Aufspannung, Werkstoffkennwerte etc.
PRINZIPIELLER AUFBAU EINES INNEN-ROLLIERWERKZEUGS
Bauteile und Werkzeugaufbau exemplarisch dargestellt.

Ein Konus stützt die in einem Käfig geführten Rollen ab und sorgt für die Anpresskraft zum Umformen des Materials. Der Walzdurchmesser wird durch Axialverschiebung des Konus zur Rolle verstellt.

TIPP
Während zum Einrichten eines Werkzeuges die Drehzahl deutlich verringert werden kann, darf der Vorschub je Umdrehung nicht reduziert werden. Beim Rollieren unter ungünstigen Bedingungen, z. B. bei hochfesten Werkstoffen, unzureichender Schmierung oder sehr tiefen Bohrungen, empfiehlt sich eine Reduzierung der Drehzahl.
PRINZIPIELLER AUFBAU EINES AUSSEN-ROLLIERWERKZEUGS
Bauteile und Werkzeugaufbau exemplarisch dargestellt.

Ein Konus stützt die in einem Käfig geführten Rollen ab und sorgt für die Anpresskraft zum Umformen des Materials. Der Walzdurchmesser wird durch Axialverschiebung des Konus zur Rolle verstellt.

TIPP
Beim Einrichten eines Werkzeuges kann die Drehzahl deutlich verringert werden, der Vorschub je Umdrehung soll jedoch nicht vermindert werden. Auch beim Rollieren unter ungünstigen Bedingungen, z. B. bei Verwendung hochfester Materialien oder bei unzureichender Schmierung, ist die Verringerung der Drehzahl empfohlen.
RÜCKWÄRTSROLLIEREN MIT AUSSEN_ROLLIERWERKZEUG IN SONDERAUSFÜHRUNG
Standardmäßig erfolgt das Glätten der Oberfläche im Vorschub schiebend. Optional sind alle Außenrollierwerkzeuge auch für die ziehende Bearbeitung lieferbar.